1. 확률 (Probability)

- 이항(discrete) / 연속(continuous)
- 서로 배타적(mutually exclusive) : 시행의 모든 시도에서 한 사건 발생 시 다른 하나사건이 발생하지 않을 경우
- 집합(set), 원소(elements), 사건(events), 부분집합(subset), 전체집합(universal set), 공집합(null,empty set)
- 교집합(intersection), 합집합(union), 같음(equality)
- 여집합(complementary set; Set - A), 차집합(difference; A-B != B-A in Union), 서로소집합(disjoint set; A and B are mutually exclusive)
- 이 서로 배타적인 사건일 때,
- P(A)=P(A1)+P(A2)+⋯+P(An)
- P(A∪B∪C)=P(A)+P(B)+P(C)−P(A∩B)−P(A∩C)−P(B∩C)+P(A∩B∩C)

2. 조건부 확률 (Conditional Probability)
- P(B∣A) : 확률이 0이 아닌 두 사건 와 에 대하여 사건 가 일어났을 때, 사건 가 일어날 확률
- 확률의 곱셈정리


- 전확률 (Total probability)


- 베이즈 정리(Bayes' theorem) : P(B)의 확률을 알고 있을 경우,

독립(independent)
- 두 사건 , 에 대해서 한 사건이 다른 하나의 사건에 영향을 주지 않을 때 와 는 독립(independent)이다
- ,
-
- 를 앞면이 나올 경우, 를 뒷면이 나올 경우,
- A={H}, B={T}, -> -> : 상호 배타적 사건
- P(A)=1/2, P(B)=1/2 , -> : 독립이 아님, 종속임.
3. 확률 변수(random variables)
- X(w) or X : 표본공간이 오메가, 표본공간의 한 표본점이 w일 때, w를 실수 상의 하나의 값으로 매빙(대응) 시켜주는 함수 = w를 하나의 실수로 바꿔주는 역할을 하는 함수
- x : 이 때, w라는 표본점이 확률 변수 X에 의해 매핑된 하나의 실수.
- Ax : A는 사건. 즉 w가 x로 매핑된 사건.
- 사건이므로 확률을 가지고 있음. Ax={w∣X(w)=x}={X=x} >> p=P(Ax)=P(X=x)
- 2개의 동전을 차례로 던질 경우,
- 나올 수 있는 모든 수 : (앞,앞),(앞,뒤),(뒤,앞),(뒤,뒤)
- 1,2,3,4에 매핑 : X((앞,앞))=1,X((앞,뒤))=2,X((뒤,앞)=3,X((뒤,뒤))=4
- 여기서 X가 각 경우의 수를 하나의 실수로 매핑시키는 확률변수가 됨.
- 의 값이 3일 확률은
- 의 값이 3 이하일 확률은
- 의 값이 3 초과일 확률은
- 의 값이 1과 4 사이일 확률은
- 확률 변수가 보다 같거나 작을 확률


- FX(x)는 단조 증가함수(monotonic increasing function) ; y = x나 y = log x처럼 감소하지않고 꾸준히 증가하는 함수.
이산 확률 변수(discrete random variables)
확률 변수 의 값인 가 셀 수 있는 함수 (countable) 집합일 때.
자연수 집합은 countable, 실수(e.g. 0-1사이의 소수들) 집합은 uncountable 함.
- 확률 질량 함수(probability mass function, PMF) :


연속 확률 변수(continuous random variables)
확률 변수 가 셀 수 없는(uncountable) 집합에서 정의될 때. (e.g. 가 0.0~1.0인 경우)
확률 밀도 함수(probability density function, PDF) : PMF 와 달리 셀 수 없으므로 밀도가 됨

기댓값 (expectation or expected value or mean)
- E[X] : 확률 변수 가 있을 때, 의 기댓값
- 이산 확률 변수 의 기대값은 각 의 값에 그 값에 해당하는 확률을 곱하여 모두 더한 값이라서, 의 값에 곱하는 확률을 흔히 의 값에 대한 '가중치'를 곱한다고도 표현함.
- 어떤 상수 에 대해서
- 기댓값은 확률 변수 ,와 상수 , b가 주어졌을 때,

분산 (Variance) = 표준편차(standard deviation)의 제곱
표준편차 = 분산에 루트씌운것
- 표준편차 (시그마)
- 기댓값 - 평균 or 기댓값 - 중앙값 = E[(X−m)]
- 표준편차가 작다 = 기댓값이 평균에 가깝다.
- 분산 (시그마의 제곱)
- 확률 밀도 함수나 확률 질량 함수가 얼마나 퍼져있는지 그 정도를 나타냄
- 분산이 높을 수록 넓게 퍼져있고, 낮을 수록 어느 한 곳에 집중되어 있음.


조건부 기댓값(conditional expectation)
조건에 부합하는 경우의 기댓값
'시험을 통과한' 학생들의 '평균' 시험 성적 의 경우, 조건 : 시험통과 / 기댓값 : 평균


- 예시 : 각 면이 나올 확률이 모두 동일한 6면체 주사위를 던진다고 할 때, 짝수가 나온 경우의 결과값들의 평균은 얼마?
- 답 : 4
- X : 주사위의 각 눈이 나올 경우를 그 눈의 수로 할당하는 확률 변수
- A : 주사위를 던졌을 때 짝수가 나올 경우 P(A) = 2,4,6이 나오는 경우 = 3/6 = 1/2


4. 분포 (distribution)
- 베르누이 분포 (Bernoulli distribution) : 결과가 성공 혹은 실패 두가지로만 나오는 실험, 동전앞뒤실험 (베르누이 실험)의 확률변수 X (Bernoulli random variable)를 확률질량함수(PMF)로 표현한 것.



P(1) = p (p1승 x p0승(p의 0승은 1))
P(0) = 1-p (1 x (1-p))

기댓값은 요소 x와 P(x)의 합이니,
E[X] = 0 x P(0) + 1 x P(1)

E[X] = 0 x P(0) + 1 x P(1)



이항 확률 변수(binomial random variable) (Countable)

- 이항확률변수의 확률질량함수(PMF) = 이항분포
- 이산확률변수의 분포가 이항확률변수이고,
- 이항확률변수의 확률질량함수가 이항분포이다.
- 독립적으로 번의 베르누이 시도를 했고, 그 중 성공한 수를 로 표현할 때, 이
- X(n) = (n,p) / n : 시행횟수, p = 성공할확률
- 파라미터 과 에 의한 이항 분포를 띄는 이항 확률 변수 이라는 뜻
- 이항분포 (binomial distribution) = 이산확률질량함수 (PMF)

- 이항 계수 (binomial coefficient)
- 번의 성공과 번의 실패를 할 경우의 수
- = n! / x!(n−x)!
- 이항분포의 모양은 파라미터 n과 p에 의해 결정된다.
- 만약 p = 0.5이면, 이항 분포의 그래프는 평균값을 기준으로 좌우 대칭이 된다.

- 이항분포의 기댓값

- 이항분포의 분산
- 하기공식에 따라,


위 식에서 라고 둔다면, 일때 이 되며 일 땐







- Q3.어떤 볼링 선수가 스트라이크를 할 확률이 80%라고 할 때, 이 선수가 3번을 던져 2번 이상 스트라이크를 할 확률을 구해보세요.
- 풀이
- 2번 이상 성공할 누적확률을 구하는 것. = 누적확률분포를 구하라는 것
- n(횟수) = 3 / p(성공확률) =0.8 = 4/5 / x(몇번이상) = 2
- 2번 이상 스크라이크 할 확률은


정규 확률변수 (normal random variable) (Uncountable)


- 연속확률변수의 분포가 정규확률변수이고,
- 정규확률변수의 확률밀도함수가 정규분포이다.
- 정규분포 (normal distribution)
- 정규 분포의 그래프는 를 기준으로 대칭이며 종모양, 이항 분포 때와 비슷하게 는 평균값이며, 는 분산
- 이항 분포의 n(횟수) =

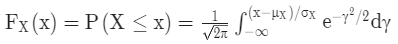
- 정규분포의 누적분포함수(CDF)



표준화를 위해 로 치환을 한다면, 가 됨으로 이를 위 식에 대입하면 다음과 같이 정리




- 이항 분포의 n(횟수) =
1. 키가 180cm 이상인 학생은 전체의 약 몇 %인가요?
- N(170, 25)
- P(X>=180) 은 1에서 180 이하인 부분을 빼면 됨.
- 1 - Fx(180) 이고, 하기 식에 따라
- 1 - P((180-평균) / 표준편차) = 1 - P((180-170) / 5) = 1-P(2.0) = 약 1-0.9772 = 0.0228

2. 키가 155cm 이상 175cm 이하인 학생은 약 몇명 인가요?
- N(170,25)
- P (155<= X <=175) = Fx(175) - Fx(155) = P((175-170)/5) - P((155-170)/5)
- P(1.0) - P(-3.0) = P(1.0) - {1 - P(3.0)} = P(1.0) + P(3.0) - 1 = 0.8413+0.9987-1 = 0.84
- 총 60명 * 확률 0.84 = 약 50명
이항 분포와 정규 분포의 관계
- 에서 이항 분포의 식

- 혹은 가 0에 아주 가깝지 않으며 n의 값이 충분히 크다면 이항 분포의 그래프는 (평균,분산) = (n정규 분포의 곡선에 가까워짐
- 가 이항 확률 변수일 때, 가 표준 정규 분포를 따르는 확률 변수)면

- 로 표현된 확률

- n이 낮을 때는 모양이 조금씩 다르지만, 이 커지면 커질수록 모습이 같아짐

- 농구선수가 자유투를 10번 던졌을 때, 골을 넣은 횟수가 4개 이상 7개 이하일 확률을 구하세요. (골을 넣을 확률은 1/2 입니다.)
- 이항 분포를 이용해 근사한 표준 정규 분포를 이용해 구해보세요.(표준 정규 분포 표를 보고 구하세요.)
- N (np, np(1-p) = (10*0.5 , (10*0.5)0.5) = N(5, 2.5)
- P (4<= X <=7) = Fx(7) - Fx(4) = P((7-5)/2.5) - P((4-5)/2.5) = P(1.26) - {P(-0.63)} = P(1.26) + P(0.63) - 1 = 0.6319
- 이항 분포를 이용한 확률

n이 커질수록 위의 두 확률은 비슷해지게 된다.
728x90
'Study (Data Science) > DL' 카테고리의 다른 글
| 추천 시스템 알고리즘/ MF / CSR (0) | 2023.01.25 |
|---|---|
| MLE, MAP / prior, posterior, likelihood (0) | 2023.01.18 |
| Entropy / Cross - Entropy (0) | 2023.01.12 |
| Regression (회귀) / 이진분류는 회귀인가 분류인가? (0) | 2023.01.12 |
| Regularization, Normalization (0) | 2023.01.11 |
댓글